Beranda
/ Kumpulan Soal Limit Fungsi - Contoh Soal Limit Beserta Pembahasan Dan Jawabannya / Image.slidesharecdn.com berdasarkan konsep umum matematika yang diperoleh dari permasalahan tersebut, kita mampu menyelesaikan kembali permasalahan yang serupa.
Kumpulan Soal Limit Fungsi - Contoh Soal Limit Beserta Pembahasan Dan Jawabannya / Image.slidesharecdn.com berdasarkan konsep umum matematika yang diperoleh dari permasalahan tersebut, kita mampu menyelesaikan kembali permasalahan yang serupa.
Kumpulan Soal Limit Fungsi - Contoh Soal Limit Beserta Pembahasan Dan Jawabannya / Image.slidesharecdn.com berdasarkan konsep umum matematika yang diperoleh dari permasalahan tersebut, kita mampu menyelesaikan kembali permasalahan yang serupa.. Kumpulan soal dan jawaban integral trigonometri. Dalam edisi matematika kesempatan ini akan dibahas perihal aneka macam jenis soal yang berafiliasi dengan limit fungsi aljabar. 14 soal soal limit fungsi. Limit bentuk 1 limit fungsi trigonometri. Contoh soal limit fungsi trigonometri kelas 12 dan pembahasannya kumpulan soal pelajaran 7.
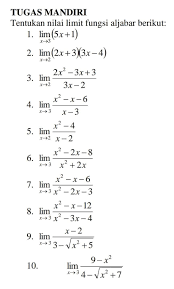
Berikut ini adalah kumpulan soal latihan limit tak tentu fungsi aljabar yang penyelesaiannya menggunakan faktorisasi. 120 limit fungsi trigonometri 1 sman 12 makassar soal dan pembahasan limit fungsi trigonometri 1. Apr 02, 2021 · soal 13: Contoh soal segiempat dan pembahasan +kunci jawaban. Tentukanlah nilai dari (spmb 2002) pembahasan 3 :
Fungsi Aljabar Limit Turunan Contoh Soal from rumusguru.com Contoh soal limit trigonometri kelas 12 kumpulan soal pelajaran 7. Tulisan ini terkait dengan tulisan pada kategori latihan soal, persamaan dan fungsi kuadrat. Substitusikan saja nilai x, berikutnya dilanjutkan dengan tipe metode turunan yaitu limit x menuju angka tertentu dimana jika disubstitusikan langsung. Soal limit fungsi dan pembahasan related. Contoh soal limit trigonometri diberikan dengan pembahasannya. Contoh berikutnya tipe soal limit â†' ∞ yang berbentuk selisih akar kuadrat. Jun 10, 2020 · 65+ contoh soal limit fungsi aljabar dan pembahasan. Kumpulan soal limit fungsi trigonometri idschool
Soal akm numerası trıgonometrı #3.
Soal juga dapat diunduh melalui tautan berikut: Soal limit aljabar yang diselesaikan dengan pemfaktoran. Untuk dapat memahami pengertian limit secara intuitif, perhatikanlah contoh berikut: By zahara lindra â· 2.rumus lengkap kimia sma. Soal dan pembahasan limit fungsi trigonometri kelas 12. Berikut ini adalah soal dan pembahasan super lengkap mengenai limit khusus fungsi trigonometri. Teknik mengerjakan soal limit fungsi trigonometri berbeda untuk setiap soalnya. Meskipun berbeda teknik, namun tidak banyak teknik yang perlu dikuasai. Contoh soal segiempat dan pembahasan +kunci jawaban. Pada pembahasan ini akan didiskusikan bagaimana menyelesaikan permasalahan limit fungsi trigonometri untuk x atau variabel lainnya mendekati nol. Limit dan turunan berikut contoh soal limit fungsi yang tidak bisa diselesaikan dengan substitusi langsung. Kumpulan soal limit fungsi trigonometri kelas 12 dubai khalifa. Supaya lebih paham dan mengerti tentang limit fungsi aljabar, simak soal dan pembahasan limit fungsi aljabar berikut.
120 limit fungsi trigonometri 1 sman 12 makassar soal dan pembahasan limit fungsi trigonometri 1. Soal akm numerası trıgonometrı #3. Materi limit ada beberapa jenis seperti limit fungsi aljabar, limit fungsi trigonometri, limit menuju tak hingga, limit tak hingga fungsi trigonometri dan limit fungsi khusus. Kumpulan soal limit fungsi trigonometri. Soal limit aljabar yang diselesaikan dengan pemfaktoran.
Maretong Soal Dan Pembahasan Limit Aljabar from 4.bp.blogspot.com Contoh soal limit trigonometri diberikan dengan pembahasannya. Pada kurikulum 2013 revisi 2016 materi ini dipelajari di kelas xii matematika. Teknik mengerjakan soal limit fungsi trigonometri berbeda untuk setiap soalnya. Soal juga dapat diunduh melalui tautan berikut: Nilai lim 𝑥→ 𝜋 3 2 tan 𝑥−sin 𝑥 cos 𝑥 = ⋯. Image.slidesharecdn.com berdasarkan konsep umum matematika yang diperoleh dari permasalahan tersebut, kita mampu menyelesaikan kembali permasalahan yang serupa. Trigonometri berasal dari kata yunani trigonon yang artinya tiga sudut dan. Kumpulan properti tersebut bisa dilihat pada daftar rumus limit trigonometri yang diberikan di bawah ini
Sekian kumpulan soal limit fungsi trigonometri disertai dengan pembahasannya.
Soal juga dapat diunduh dengan mengklik tautan berikut: Halaman ini berisi kumpulan soal limit fungsi trigonometri yang sudah dilengkapi dengan pembahasannya. Soal akm numerası trıgonometrı #3. Soal juga dapat diunduh melalui tautan berikut: Contoh berikutnya tipe soal limit â†' ∞ yang berbentuk selisih akar kuadrat. Untuk soal limit fungsi trigonometri, dipisahkan pada pos lain karena soalnya akan terlalu banyak bila ditumpuk menjadi satu. Soal no12 simak ui 2010. Substitusikan saja nilai x, berikutnya. Kumpulan soal dan jawaban limit fungsi aljabar dan limit fungsi trigonometri. Kumpulan soal limit fungsi trigonometri. Contoh soal limit fungsi trigonometri aljabar pembahasan pengertian materi rumus teorema matematika cara substitusi langsung dan memfaktorkan sekawan tak hingga anda telah mempelajari ari nilai fungsi f di a pada materi suku banyaksebagai contoh diketahui fx untuk x 1 diperoleh f1 1. Tulisan ini terkait dengan tulisan pada kategori latihan soal, persamaan dan fungsi kuadrat. 120 limit fungsi trigonometri 1 sman 12 makassar soal dan pembahasan limit fungsi trigonometri 1.
Contoh soal limit fungsi bagian 1 memuat kumpulan soal un dengan level kognitif pengetahuan dan pemahaman. Cara hitung limit fungsi trigonometri bisa. Namun dipertemuan sebelumnya kami telah membahas mengenai contoh soal fungsimari kita pelajari dengan seksama penjelasan lengkapnya berikut ini. Definisi dari limit ini menyatakan bahwa suatu fungsi f (x) akan mendekati nilai tertentu jika x mendekati nilai tertentu. Soal dan pembahasan limit fungsi aljabar dan trigonometri 1.
Limit Fungsi Aljabar Definisi Sifat Metode Trigonometri Teorema from www.yuksinau.id Di sini kamu akan belajar tentang limit pemfaktoran melalui video yang dibawakan oleh bapak anton wardaya. Untuk soal limit fungsi aljabar, sobat idschool perlu menguasai operasi hitung matematika, perkalian aljabar, pemfaktoran, dan materi dasar aljabar lainnya. Kumpulan soal dan jawaban integral trigonometri. Berikut ini adalah kumpulan soal latihan limit tak tentu fungsi aljabar yang penyelesaiannya menggunakan faktorisasi. Halaman ini berisi kumpulan soal limit fungsi trigonometri yang sudah dilengkapi dengan pembahasannya. Kumpulan soal limit fungsi trigonometri. Contoh soal limit fungsi dan pembahasan contoh soal limit 1. Soal limit fungsi dan pembahasan related.
Kumpulan soal limit dan pembahasan.
Pada pembahasan ini akan didiskusikan bagaimana menyelesaikan permasalahan limit fungsi trigonometri untuk x atau variabel lainnya mendekati nol. Kumpulan soal limit fungsi trigonometri idschool 14 soal soal limit fungsi. Berikut ini adalah soal dan pembahasan super lengkap mengenai limit khusus fungsi trigonometri. Keterampilan menentukan nilai limit trigonometri bisa mudah dengan cara banyak mengerjakan latihan soal tentang limit fungsi. Soal limit aljabar yang diselesaikan dengan pemfaktoran. Contoh soal limit fungsi trigonometri aljabar pembahasan pengertian materi rumus teorema matematika cara substitusi langsung dan memfaktorkan sekawan tak hingga anda telah mempelajari ari nilai fungsi f di a pada materi suku banyaksebagai contoh diketahui fx untuk x 1 diperoleh f1 1. Definisi dari limit ini menyatakan bahwa suatu fungsi f (x) akan mendekati nilai tertentu jika x mendekati nilai tertentu. 120 limit fungsi trigonometri 1 sman 12 makassar soal dan pembahasan limit fungsi trigonometri 1. Soal limit aljabar yang diselesaikan dengan pemfaktoran. 120 limit fungsi trigonometri 1 sman 12 makassar soal dan pembahasan limit fungsi trigonometri 1. Soal juga dapat diunduh melalui tautan berikut: Kumpulan soal dan jawaban integral trigonometri.
Berbagi
Posting Komentar
untuk "Kumpulan Soal Limit Fungsi - Contoh Soal Limit Beserta Pembahasan Dan Jawabannya / Image.slidesharecdn.com berdasarkan konsep umum matematika yang diperoleh dari permasalahan tersebut, kita mampu menyelesaikan kembali permasalahan yang serupa."
Posting Komentar untuk "Kumpulan Soal Limit Fungsi - Contoh Soal Limit Beserta Pembahasan Dan Jawabannya / Image.slidesharecdn.com berdasarkan konsep umum matematika yang diperoleh dari permasalahan tersebut, kita mampu menyelesaikan kembali permasalahan yang serupa."