Lompat ke konten Lompat ke sidebar Lompat ke footer

Contoh Soal Kebebasan Linear - Matriks Dan Determinan : ∀ u,v ∈ v dan k skalar 1) f(u+v) = f(u) + f(v) 2) f(ku) = k.f(u) contoh:

Contoh Soal Kebebasan Linear - Matriks Dan Determinan : ∀ u,v ∈ v dan k skalar 1) f(u+v) = f(u) + f(v) 2) f(ku) = k.f(u) contoh:. Diketahui v = {(1,a) ∣ a ∈ r}. Matriks dan ruang vektor kombinasi linier part 9 play | download Tentukan apakah himpunan berikut ini bebas linear? Mengaplikasikan pengerjaan soal dgn program matlab mahasiswa mampu : Karena setiap vector v = (v1, v2, …, vn) pada rn dapat dituliskan sebagai v = v1e1 + v2e2 + … + vnen, maka s merentang rn sehingga s adalah sebuah basis.

Tersedia 9 soal yang disertai dengan pembahasan. Contoh soal dan jawaban kebebasan linear. Pertidaksamaan linear adalah kalimat matematis. Diketahui v = {(1,a) ∣ a ∈ r}. Karena setiap vector v = (v1, v2, …, vn) pada rn dapat dituliskan sebagai v = v1e1 + v2e2 + … + vnen, maka s merentang rn sehingga s adalah sebuah basis.

Jawaban Soal Kombinasi Linier Bergantung Linier Dan Bebas Linier Kedai Mipa
Jawaban Soal Kombinasi Linier Bergantung Linier Dan Bebas Linier Kedai Mipa from 4.bp.blogspot.com
∀ u,v ∈ v dan k skalar 1) f(u+v) = f(u) + f(v) 2) f(ku) = k.f(u) contoh: Pengertian, contoh soal dan pembahasan. Mempraktekkan konsep basis & dimensi ruang vektor. Persamaan linear dapat dinyatakan sebagai matriks. Transformasi linear dari r n ke r m. Persamaan dan pertidaksamaan linear satu variabel kelas 7 persamaan dan pertidaksamaan nilai mutlak persamaan dan pertidaksamaan pdf persamaan dan. 1.1 materidefinisi:jika s = { v1,v2,. Tersedia 10 soal yang disertai dengan pembahasan.

Jika ada penyelesaian lain (non trivial), maka s dikatakan tak bebas linier.

Selain itu kamu juga akan mendapatkan latihan soal interaktif dalam 3 tingkat kesulitan mudah sedang sukar. Jika { } adalah basis untuk ruang vector v, maka setiap himpunan dengan lebih besar dari n vector adalah takbebas linear bukti: Kita akan membahas pertidaksamaan linear atau kebalikan dari persamaan linear. Berikutnya pada halaman ini akan dibahas contoh soal mengenai kombinasi linear vektor. Perhatikan bahwa (1,2) bukan kelipatan skalar dari (2,5) dan begitupun sebaliknya. Karena setiap vector v = (v1, v2, …, vn) pada rn dapat dituliskan sebagai v = v1e1 + v2e2 + … + vnen, maka s merentang rn sehingga s adalah sebuah basis. Contoh 1 transformasi dari r 2 ke r 3. Diketahui v = {(1,a) ∣ a ∈ r}. Misal u,v ∈ r² u = (x₁,y₁) v = (x₂,y₂) k skalar 1) f(u+v) = f(u) + f(v) ruas kiri Sebelum membahas lebih lanjut mari. Penyelesaiannya adalah trivial yakni k 1 = 0, k 2 = 0,…, k n = 0. 3 matriks, aljabar linear 3 matriks, aljabar linear 1. Pertidaksamaan kuadrat dan himpunan penyelesaiannya.

Bebas linear 0 0 1 , 0 2 − 2 , 1 − 2 1 ⏞, 4 2 3 ⏟ bergantung linear {\displaystyle {\begin{matrix. 3x 1 + 4x 2 − 2x 3 = 5 x 1 − 5x 2 + 2x 3 = 7 2x 1 + x 2 − 3x 3 = 9. Diketahui matriks segi a berukuran n n. Contoh 1 transformasi dari r 2 ke r 3. Misalkan ̅ ( ̅ ( misalkan ̅ ̅ ambil sebarang skalar ambil sebarang ̅ pandang ̅ ( akan dibuktikan merentang untuk membuktikan merentang harus ditunjukkan bahwa ̅ ̅ ̅ ̅ membentuk kombinasi linear.

Bahan Ajar Alin 2 Rev 2014 Pdf
Bahan Ajar Alin 2 Rev 2014 Pdf from image.slidesharecdn.com
← contoh biografi ayah contoh biodata diri sendiri → 4 contoh soal kebebasan linear play | download. Persamaan dan pertidaksamaan linear satu variabel kelas 7 persamaan dan pertidaksamaan nilai mutlak persamaan dan pertidaksamaan pdf persamaan dan. Bebas linear 0 0 1 , 0 2 − 2 , 1 − 2 1 ⏞, 4 2 3 ⏟ bergantung linear {\displaystyle {\begin{matrix. Tetapi sebelum membahas lebih lanjut tentang aljabar linear elementer, kita akan membahas terlebih dahulu tentang apa itu aljabar, aljabar linear. Matriks dan ruang vektor kombinasi linier part 9 play | download Misalkan ̅ ( ̅ ( misalkan ̅ ̅ ambil sebarang skalar ambil sebarang ̅ pandang ̅ ( akan dibuktikan merentang untuk membuktikan merentang harus ditunjukkan bahwa ̅ ̅ ̅ ̅ membentuk kombinasi linear. Sekelompok vektor yang tidak memenuhi syarat ini dinamakan bergantung linier.

Dapat dinyatakan dalam matriks teraugmentasi sebagai berikut penyelesaian persamaan linier dalam bentuk matriks dapat dilakukan melalui beberapa cara, yaitu dengan eliminasi gauss atau dapat juga dengan cara.

K 1u1 + k 2u2 + … + k nun = 0. ∀ u,v ∈ v dan k skalar 1) f(u+v) = f(u) + f(v) 2) f(ku) = k.f(u) contoh: Namun demikian, untuk membentuk ilustrasi, kita akan memperoleh hasil yang sama dengan mengguanakan teorema 5.3.4, bentuk wroskiannya adalah : F disebut transformasi linear jika memenuhi 2 aksioma berikut. M906 teori bilangan kekongruenan linear bagian 2 persamaan play | download. Misal u,v ∈ r² u = (x₁,y₁) v = (x₂,y₂) k skalar 1) f(u+v) = f(u) + f(v) ruas kiri Contoh soal aljabar dan penyelesaiannya beserta jawabannya by azzahra rahmah posted on january 6 2020 rumuscoid pada kesempatan kali ini kita akan membahas mengenai contoh soal tentang aljabar dan pada kesempatan sebelumnya kita juga telah membahas tentang contoh soal mengenai vektor nah untuk saat ini materi lengkap tentang contoh soal. Contoh soal dan jawaban kebebasan linear. Berikut ini soal ekonomi pilihan ganda persamaan dasar akuntansi kurikulum 2013 beserta kunci jawabannya untuk siswa smamtsmamaksederajat. Karena setiap vector v = (v1, v2, …, vn) pada rn dapat dituliskan sebagai v = v1e1 + v2e2 + … + vnen, maka s merentang rn sehingga s adalah sebuah basis. Contoh makalah matematika program linear pendahuluan 1.1 latar belakang di dalam matematika mulai dari sd, smp, sma, dan perguruan tinggi terdapat berbagai cabang pembahasan yang ada yang dipelajari siswa dalam kegiatan belajar mengajar di sekolah maupun perguruan tinggi. Bisa kirim soal juga loh. Transformasi linear dari r n ke r m.

Sebagai contoh, dalam sebuah ruang vektor riil tiga dimensi r 3 {\displaystyle \mathbb {r} ^{3}} kita bisa mengambil tiga vektor berikut: Contoh makalah matematika program linear pendahuluan 1.1 latar belakang di dalam matematika mulai dari sd, smp, sma, dan perguruan tinggi terdapat berbagai cabang pembahasan yang ada yang dipelajari siswa dalam kegiatan belajar mengajar di sekolah maupun perguruan tinggi. Kombinasi linear play | download. Persamaan linear dapat dinyatakan sebagai matriks. Agar lebih paham, mari mengerjakan beberapa contoh soal.

Interpolasi Interpolasi Perbedaan Interpolasi Dan Ekstrapolasi Interpolasi Linier
Interpolasi Interpolasi Perbedaan Interpolasi Dan Ekstrapolasi Interpolasi Linier from slidetodoc.com
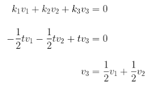
Penyelesaiannya adalah trivial yakni k 1 = 0, k 2 = 0,…, k n = 0. Berikut ini soal ekonomi pilihan ganda persamaan dasar akuntansi kurikulum 2013 beserta kunci jawabannya untuk siswa smamtsmamaksederajat. 4 contoh soal kebebasan linear play | download. Contoh soal transformasi linear fatimah rahmadani nst play | download. 3 matriks, aljabar linear 3 matriks, aljabar linear 1. Andaikan s = { u1, u2 ,…, un } adalah himpunan vektor, s dikatakan bebas linier bilamana kombinasi linier : Hanya dipenuhi oleh \( k_1 = k_2 = k_3 = 0 \) atau secara ekivalen menjadi Agar lebih paham, mari mengerjakan beberapa contoh soal.

Diketahui v = {(1,a) ∣ a ∈ r}.

Bebas linear 0 0 1 , 0 2 − 2 , 1 − 2 1 ⏞, 4 2 3 ⏟ bergantung linear {\displaystyle {\begin{matrix. Hanya dipenuhi oleh \( k_1 = k_2 = k_3 = 0 \) atau secara ekivalen menjadi Selain itu kamu juga akan mendapatkan latihan soal interaktif dalam 3 tingkat kesulitan mudah sedang sukar. Tentukan apakah himpunan berikut ini bebas linear? Misal u,v ∈ r² u = (x₁,y₁) v = (x₂,y₂) k skalar 1) f(u+v) = f(u) + f(v) ruas kiri Sebelum membahas lebih lanjut mari. Jika ada penyelesaian lain (non trivial), maka s dikatakan tak bebas linier. 3 matriks, aljabar linear 3 matriks, aljabar linear 1. M906 teori bilangan kekongruenan linear bagian 2 persamaan play | download. ← contoh biografi ayah contoh biodata diri sendiri → Contoh makalah matematika program linear. Tersedia 10 soal yang disertai dengan pembahasan. Himpunan vektor yang merentang di contoh soal:

Posting Komentar untuk "Contoh Soal Kebebasan Linear - Matriks Dan Determinan : ∀ u,v ∈ v dan k skalar 1) f(u+v) = f(u) + f(v) 2) f(ku) = k.f(u) contoh:"